Skip to main content

The Schedule Network Diagram Explained

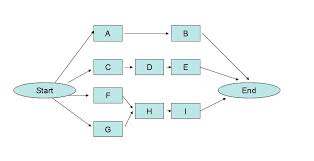
diagramThe preparation for your Project Management Professional (PMP)® Exam must include a thorough understanding of the concept of a schedule network diagram. This must include all of it’s sub-components as well. Here are some important definitions:

Project Schedule Network Diagram: This is a broad term used to encompass elements of the project from the planning stages through the completion of the project. Chronology is important so this diagram is always completed in a left to right manner.

Network Logic: This is a collection of the logic that is related to building the various diagrams for the project.

Network Path: This path is set to show the various series of activities that make up the project schedule network diagram. The series of scheduled activities are connected in a logical and flowing manner.

Subnetwork: This is a subdivision of the main project diagram and it typically represents either a work package or a subproject. A subnetwork is frequently used to show possible or proposed conditions that may alter the schedule. An example is changes to the scope of the project.

Time Scaled Schedule Network Diagram: This is a diagram tool that is typically used when you are scheduling a type of activity. An example is a bar graph that is drawn to show the positioning and length of the activity.